ПРОГНОЗИРОВАНИЕ ИЗМЕНЕНИЯ ПАРАМЕТРОВ. АВИАЦИОННОЙ ТЕХНИКИ
3.1. Оценка вероятностных характеристик
случайной последовательности,
заданной небольшим числом реализаций
Основой для назначения технического обслуживания ЛА и установленного на них оборудования является оценка вероятности <Q*(t) достижения реализацией х:’ недопустимой области в течение времени і. Вычисление.
вероятности Qi (t) эквивалентно вычислению прогноза л
xh определяющего параметра в момент t=iM и оценке точности этого прогноза. Таким образом, прогноз опре-
л
делающего параметра х служит главной оценкой изменения технического состояния, на основе которой может быть назначена программа обслуживания, оптимальная по любому критерию.
Решение задачи прогнозирования определяющего параметра распадается на ряд этапов. Сначала необходимо оценить изменение в процессе эксплуатации математического ожидания щ и дисперсии (щ)2 наблюдаемого процесса, так как они, как правило, заранее не известны. Методика соответствующих расчетов дана в § 2.3. Затем нужно установить тесноту статистической связи отдельных измерений на одной реализации, т. е. оценить спектральную плотность f (%) наблюдаемого случайного процесса Xi. При известных вероятностных характеристиках щ, щ и f(k) наблюдаемого процесса Хі
а
нетрудно рассчитать прогноз xU-
л
Поскольку прогноз х — основа для назначения программы обслуживания, правильная организация технической эксплуатации не встретит больших трудностей, если известно корректное описание определяющего параметра как случайного процесса. Это описание необходимо получить на основании только тех данных, которые становятся известны при реальном эксплуатационном контроле. Статистическая обработка результатов контроля параметра на однотипных объектах {х3’і} дает необходимые сведения о щ, сп, f (А.).
В алгоритме обработки реальных исходных данных, предлагаемом в данной главе, используется тот же прием статистической проверки гипотез, что и в § 2.3. О структуре и характере наблюдаемых временных последовательностей выдвигается ряд гипотез Я0, Hi, таких, что ■каждая более сложная гипотеза включает предыдущую как частный случай. Строится статистический критерий проверки гипотезы #е, и он применяется последовательно ко всем гипотезам при 0 = 0, 1… Первая гипотеза Я;, которая подтверждается с выбранным заранее уровнем значимости а, принимается в качестве рабочей при дальнейших расчетах статистических характеристик наблюдаемых случайных процессов.
Применяемая методика подбора статистических характеристик,: наиболее соответствующих исходному. материалу, позволяет избежать многих ограничений на тип изучаемых процессов х,-. Единственная исходная предпосылка о нормальном распределении значений xh при фиксированной наработке (при і = const) не может быть причиной сколько-нибудь значительных ошибок.
Считается, что эффект старения, одинаковый для всех эксплуатируемых объектов, уже учтен в том смысле, что определены изменения во времени математического ожидания и среднего квадратического отклонения параметра х. Поэтому здесь в качестве характеристики технического состояния объекта используются приведенные значения определяющего параметра
— М-О’/ш. (3.1)
где х>’г — результаты измерения параметра на j-м объекте в г’-й момент времени; р, —сглаженное математическое ожидание; 0, — сглаженное среднее квадратическое отклонение.
Приведение упрощает дальнейшие выкладки, поскольку позволяет считать, что изучается процесс с нулевым математическим ожиданием и единичной дисперсией. Кроме того, исключение временного тренда и выравнивание разброса почти всегда исключают неста — ционарность наблюдаемого процесса х;.
Для реализации индивидуального предсказания технического состояния каждого конкретного /-го объекта
очень важно решить, какое значение памяти о прошлом
л
необходимо иметь при построении прогноза xh. Действительно, в условиях эксплуатирующей организации, по-видимому, не удастся организовать прогнозирование параметров, если для этого требуются учет и обработка всего массива результатов контроля объектов авиатехники за всю историю их эксплуатации. Это трудно сделать даже в том случае, если расчеты проводятся не вручную, а в АСУ. Память ЭВМ, установленной в нижнем звене АСУ, должна иметь достаточный объем для хранения необходимых при прогнозировании результатов контроля всех параметров оборудования ДА; эксплуатируемых в авиаотряде. На объем этой памяти решающее влияние оказывает число измерений I, которое надо учитывать при прогнозировании изменения параметра.
При изучении связи отдельных измерений гауссовской случайной последовательности £г принимаем, что ее структура соответствует соотношению:
і
£;= 2 р0 ^г— 0 + Е<> (3.2)
6=1
где Ре — коэффициенты авторегрессии / — максимальный порядок регрессионной связи; е — независимые по і случайные ошибки.
Авто регрессионная модель :(3.2) процесса і хорошо соответствует физическим ограничениям на процессы изменения параметров авиационной техники. Спектральная плотность последовательности, удовлетворяющей соотношению (3.2), имеет, выражение (2.7).
Если по реальным исходным данным найти коэффициенты і|3е, определяющие спектральную плотность наблюдаемых в эксплуатации случайных процессов, то задача предсказания изменения будет решена. Эти коэффициенты равны для авторегрессионных процессов
весам уе, с которыми надо учитывать результаты пре-
л
дыдущих измерений при подсчете у,- — наилучшего в среднеквадратическом смысле линейного прогноза:
‘ л.
= 2 Те tf-e. (3-3)
е=1
где у е — коэффициенты, характеризующие зависимость от
ПРОШЛОГО, Т. Є. ОТ |г_1, Іі-2, ,..
Формула — (3.3) следует из модели наблюдаемого процесса (3:2). В дальнейшем для процессов типа (3.2) можно считать §6 =у в-
![]() |
|
Оценки для Ре получаются как решения линейных систем уравнений. Правая часть и матрица коэффициентов этих уравнений задаются экспериментальными значениями корреляционной функции Л’р, подсчитываемыми по имеющимся исходным данным о результатах эксплуатационного контроля:
1 N N ^
где Rfp — оденка корреляционной функции при значении аргумента р по одной реализации £3; Rp — осредненная оценка корреляционной функции по всем данным {£3j}. Она получается с наибольшей точностью, так как строится по всем реализациям.
Поскольку Rv — четная функция, в дальнейших формулах аргумент р всегда рассматривается по модулю.
Для вывода уравнений, определяющих i(3e, достаточно умножить левую и правую части (3.2) на &і+р и, просуммировав по всем /, получить
Поскольку всегда можно считать ір0= 1, система (3.6) полностью определяет коэффициенты ‘Ре и, следовательно, вид спектральной плотности (2.7) и прогноз (3.3).
По реальным исходным данным получаются не нулевые значения оценок ‘(3.5) для корреляционной функции RP при любых, даже больших р. Поэтому систем типа
(3.6) можно выписать много и найти немало вариантов представления спектральной плотности f(R). Задача станет однозначной только в том случае, если задать величину I. Выбрать наиболее соответствующее имеющимся сведениям об изменении параметра {xh} число І можно на основании статистического анализа оценок для Rp. Действительно, правильно ли назначено число 1> можно проверить статистически, если убедиться, что из наблюдаемых последовательностей используя рассчитанные фэ, можно получить последовательность Є; неза-
I
ВИСИМЫХ ПО і случайных величин: р0 |г-_0.
0 = 0
Для проверки независимости е/ может быть предложен следующий статистический критерий [23]:
N U
Wi= 2 2 (Lj — р— ‘1)Х
/=і р=і+1
Если статистика Wi укладывается в квантиль распределения х2 с уровнем значимости а и с числом степе-
N
ней свободы л>= 2 {U — I—1), то гипотеза о том, что ;=>1
£г зависит от I предыдущих значений g;-i, .|г-2,… ., £г-г, должна быть принята с уровнем доверия а.
Поскольку с ростом I точность решения системы
(3.6) для отыскания фе по реальному исходному материалу ухудшается, для прогнозирования следует стремиться выбрать наиболее простую модель процесса Следовательно, аппроксимировать спектральную плотность f(X) надо полиномом той наименьшей степени I, при которой статистика (3.7) удовлетворяется. Использование для выравнивания полиномов более высокой степени (что повлечет за собой учет при предсказании xU более ранних, чем xh-u результатов измерений параметра х на /-м объекте) может увеличить ошибку в определении коэффициентов Ре и значительно затруднит расчеты при вычислении прогноза в условиях эксплуатирующей организации.
При использовании для прогноза формулы (3.3) среднее квадратическое значение ошибки прогноза сь будет меньше, чем средний квадратический разброс от* результатов контроля. Выигрыш здесь можно оценить по формуле ‘[18]:
R0R,… Ri+i
л…………..
_ Ri+iRi… Rq RoR і ■ •. Rt
RiRi—i… Ro
Вместо расчетов. по формуле (3.8) при 1^.2 можно воспользоваться. номограммой (рис. 3.1), позволяющей оценить выигрыш в зависимости от значения коэффициентов корреляции. Номограмма получена из уравнения
(Т=[(1—Я*,) (2-2Я2)-(1-Я)2/(1—R2i)], (3.9)
являющегося записью формулы ‘(3.8) при 1=1. Уравнению (3.9) соответствует семейство — эллипсов, изображенных на номограмме рис. 3.1. По ней оценку выигрыша получаем, даже не прибегая к отысканию fie и рас-
•чету пропиша. Для определения уменьшения ошибки при лірошдащр’оів’аінии с учетом двух измерений {1—2} вычисляется отношение К!0- зффіищишгов корреляции iRi/Ri — На номовраімме огасто — яиным значениям R2IR1 соответствуют мервдион а льные ілиінии. Отложив эначеии е Ri ■на оои абопрсС и зная ука — занное отношение, можно определить на оои ординат
![]() |
ра авиадвигателя. После обработки результатов ‘эксплуатационного контроля этого параметра і? і = 0,44; 7^2 = 0,17; R2/Ri = 0,4. Таким характеристикам статистической связи отдельных измерений на одном и том же двигателе соответствует о=0,75. Уменьшение среднего’ квадратического разброса до 0,75 будет достигнуто при
![]() |
В случае учета при прогнозе одного последнего измерения можно определить выигрыш по той же номограмме. При этом меридиональные линии не используются, а из точки оси абсцисс, соответствующей значению Rь восстанавливают перпендикуляр до пересечения с дугой окружности. По ординате точки пересечения и оценивают уменьшение разброса а при индивидуальном прогнозировании. Например, при учете только одного измерения частоты вращения ротора авиадвигателя выигрыш

эксплуатации, при существующей периодичности контроля нет смысла учитывать в прогнозе более двух результатов предыдущих измерений. В табл. 3 приведены результаты оценки статистической связи отдельных измерений на одном и том же объекте авиатехники для ряда параметров, контролируемых в процессе эксплуатации. Во второй. колонке таблицы даны значения Rpf полученные по формуле (З. б), в третьей — результаты решения систем уравнений (3.6) для отыскания, коэффициентов, определяющих спектральную ‘ПЛОТНОСТЬ и наилучший линейный прогноз. Последние колонки со-
держат оценки соответствия модели типа (3.2) реальным процессам, образуемым результатами эксплуатационного контроля. Соответствие проверялось по критерию Wi, даваемому формулой (3.7). Варианты представления реальной спектральной плотности выражением (‘2.7), которые соответствуют имеющимся исходным данным {х^}, в табл. 3 выделены.
■Как видно из приведенных в табл. 3 результатов обработки реальных данных, модель авторегрессии удовлетворительно описывает реальные случайные процессы, наблюдаемые при эксплуатации авиатехники.
‘Зависимость более чем от двух предыдущих значений (/>2) при принятых в настоящее время интервалах контроля Д7=.25-н100 ч ни для одного из рассматриваемых параметров не характерна. Для некоторых параметров статистической связи между рядом стоящими результатами эксплуатационного контроля конкретного объекта авиатехники нет. Например, с высокой вероятностью (1—а>0,8) независимы отклонения от математического ожидания результатов измерений удельного расхода топлива на одном и том же двигателе.
Увеличение точности прогноза при учете авторегрессии в практических расчетах характеризуется тем, что среднее квадратическое значение ошибки прогноза может составить 0,3—0,5 от среднего квадратического значения от*. Получить больший эффект при обработке реального статистического материала не удается из-за слабых статистических связей измерений. Но и такой выигрыш часто является существенным. Например, поле допуска для частоты вращения ротора авиадвигателя сравнимо со средним квадратическим значением щ, поэтому уменьшение разброса ожидаемого значения частоты. вращения до 0,7(7* за счет прогнозирования делает эксплуатацию авиадвигателя более безопасной.
Как видно из табл. 3.1, для случайного процесса, образуемого результатами измерений дрейфа инерциальной курсовертикали, модель типа (3.2) со связью только па один шаг удовлетворительна. Можно улучшить степень соответствия модели имеющимся исходным данным, если не ограничиваться рассмотрением только процессов авторегрессионного типа, а считать допустимой модель более общего вида:
(ЗЛО)
где pj —коэффициенты авторегресии; Pg —веса суммирования для независимых (чисто регулярных) составляющих Єї_о ; ^-^максимальный порядок авторегрессионной составляющей в k — по
рядок процесса скользящего суммирования, при котором математическая модель наблюдаемого процесса хорошо соответствует результатам. наблюдений {|Ц}.
Спектральная плотность f (X) последовательности, удовлетворяющей (3.10), представляется дробно-линей — ной функцией (2.5). Выравнивание экспериментально полученной плотности с помощью аналитического выражения (2,5) решает задачу предсказания течения ‘gill т известных фо и рз’о можно вычислить коэффициенты ув оптимального линейного прогноза (3.3).
Для фІ0 легко получить линейную систему уравнений, если умножить (3.10) на gh+p при больших p>h:
U
2 Ре *р-ъ = (3-И)
в=о
р—12"Ь1, ^2“Ь2, . . . ,
■Система (3.11) эквивалентна ранее выписанной системе (3.6), так как при р>4 значения корреляционной функции RP случайной последовательности gi зависят лишь от фе. Получив ее решения ф’о, ф’ь • • • , Р1;, (без ограничения общности считаем ф10=1), можно преобразовать результаты наблюдений gi так, чтобы исключить из них авторегрессионную составляющую:
аі = 2 Р^-О — (ЗЛ2)
Корреляционная функция Rp случайной последовательности определяется через известные Rv по формуле
которая получается простым перемножением левых и правых частей формулы (3.12) для бф и и сумми
рованием по /. С другой стороны, для последовательно

сти типа «скользящего среднего»
также, простым., перемножением и суммированием получить Другие формулы ДЛЯ Rp,
и
". к = 2 Ро Pj+p ; р=о. — і, • • • — ь. (3.14)
Таким образом имеется система уравнений (3,14), определяющих Ре • Левая часть уравнений задается выражением (3.13). Система (3.14) нелинейна, и решение ее при k> 2 можно получить только численными методами на цифровых вычислительных машинах. Неединственность решений нелинейной системы (3.14) в практических расчетах не вызывает больших затруднений. Пользуясь правилом попарной перестановки симметричных коэффициентов (З); и |3?2_е, можно выбрать такой вариант решения, в котором все (Зд расположены в порядке убывания их модуля. Выбор именно такого варианта решения в качестве наилучшего имеет наглядную физическую интерпретацию, так как влияние на данное 1-е измерение б3’г членов бі_е последовательности б* должно ослабевать с ростом 0.
Решения уравнений (3.11) и (3.14) полностью определяют спектральную плотность последовательности §■, если известны числа h и 12. Условие реализуемости процесса, соответствующего. аналитическому представлению (2.3) для спектральной плотности f{%), вводит ограничение І2<1і. Таким образом, для каждого 1 необходимо перебирать только (1 — 1) возможных значений величины І2. На вопрос, на каком варианте значений k и h следует остановиться, дает ответ специальный статистический критерий, обобщающий ранее введенный критерий (3.7). Бели при полученных на основании реальной статистики-коэффициентах ф е и ф в представление (2.5) хорошо сглаживает спектральную плотность наблюдаемой последовательности, то статистика [13]
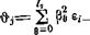
В формуле (3.15) коэффициенты уе —коэффициенты оптимального линейного прогноза случайного. процесса Их определяют ПО формуле
I,
70= S Ре [ Pe-eJ-1 . (3.16)
01=0
в которой Г? o_Dl_1 определяется из рекуррентного соотношения:
2 eUeU-oJ"
02 — 1
при 0 — 0, 1, 2, … , с учетом Гро]-1 = — к — И 1 = °>
Ро
если ©2<0.
Неравные нулю коэффициенты [рДо, ]_ 1 получаются при любых значениях 0. Поэтому в формуле оптимального линейного прогноза содержится бесконечное число результатов предыдущих измерений £3(_е. Так, модель (ЗЛО) неминуемо приводит к необходимости «беско — нечной памяти о прошлом» для предсказания течения случайного процесса Практически это условие не является ограничением, так как ув быстро спадает по величине с ростом 0.
Статистику оц,, можно рассматривать как оценку разброса корреляционных функций при боль
ших значениях аргумента (р + 0і — 02) относительно усредненной корреляционной функции R-p при малых значениях аргумента (@і — ©2). В формуле (3.15) суммирование осуществляется по бесконечному набору индексов ©і и 02, что невозможно реализовать при расчетах. Суммирование по бесконечному числу индексов порождается бесконечным числом отличных от нуля коэффициентов уе. Конечное число 1 = 1, отличных от нуля уе, получается лишь в том случае, когда h = 0, т. е. когда наблюдается последовательность авторегрессионного типа. Поскольку у в о ростом 0 быстро стремится к нулю, в формулах (3.15) и (3.3) можно использовать конечное число членов. Практически при реальном счете для .выбора полиномов, аппроксимирующих f(X), на основании статистики (3.15) и при построении ПрОГНОЗа Следует Принимать 0max = /l+4+1- 6-dS3
![]()
На вопрос, допустимо ли представление f(X) в виде постоянной, деленной на полином степени I, т. е. допустимо ли полагать 4 = 0, дает ответ сравнение значений статистики со значениями ггн,+/2_і, і wu+h-2,2 •
Значения статистики да/,, 4 при 4=5^2 подсчитываются легко, поскольку решения системы (3.14) при 4^2 имеют не очень громоздкие аналитические выражения;

(Z1 + Z2)2 )
где z^Y #0 + +
z3 = Y Rl-2R + 2Rl
Если уточнение статистики ДО/,, U и коэффициентов 70 при расчетах с 4=2 окажется незначительным, можно принимать гипотезу о том, что наблюдается последовательность авторегрессионного типа с / = 4+4- Этот эмпирический прием при экспериментальных расчетах на данных эксплуатационного контроля параметров авиадвигателей и навигационных систем позволил установить, что статистика До/ при 4 = 0 отличается от до/,, /2 не более чем на 5 %•
Таким образом, в реальных расчетах необходимо считать, что изменение параметров авиационной техники в эксплуатаций хорошо представляется процессами авторегрессионного типа. Имеющийся опыт обработки собранных данных позволяет также утверждать, что ни в одном из практических расчетов не приходилось принимать 4>4; уточнение коэффициентов уь уг, уз и у4 при учете 4=7^0 никогда не составляло более 8 ■%; при ©тах=4 + 4+1 поправки в расчетах никогда не были больше 2 % относительно расчетов при ©тах=’4 +



